Hyundai Ioniq (AE): Motor Driven Power Steering / Repair procedures

A/S Repair produres
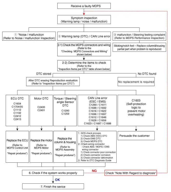
MDPS System A/S Workflow

â‘  Noise / malfunction Inspection

â‘¡ Warning lamp (DTC) / CAN Line error
2 - 1 Checking Connectors and Wiring
1.
Checking Connectors and Wiring.
Check for damage, push-back, or improper connection in each connector and wiring.
(1)
Check the wiring on the vehicle side.
–
Check for open / short - circuit due to faulty connection, damage, or foreign substance.

(2)
Check the wiring on the ECU side (motor 3 - phase power).
–
Check for open / short - circuit due to faulty connection, damage, or foreign substance.

(3)
Check the motor connector.
–
Terminal Expansion and damage

   
•
Must be replaced the MDPS motor if occur terminal expansion and damage.
(4)
Check the motor wiring.

   
•
Must be replaced the MDPS motor if occur damage or problem.
(5)
Remove the grommet (A) and then check the wiring on the TAS side (B) and ECU side (C).
–
Check for damage, push-back, or improper connection in each connector and wiring.

   
Must be replaced the MDPS assembly if occur damage or problem.
Check the TAS wiring in case of C1259/C1290 DTC.
2 - 2 Inspection Items per DTC
DTC
Problem
First analysis method
How to repair
C1290
Torque sensor signal error
First erase DTC, check connector connection.
In case of reoccurrence, replace column & housing.

C1112
Torque sensor voltage error
Check connector between torque sensor and ECU.
In case of reoccurrence, replace ECU.
C1705
ECU hardware error
First erase DTC and then check, check ECU connector.
C1604
ECU over/discharge error
C2413
ECU hardware error
C2400
Motor signal error
IIn case of reoccurrence, replace motor.
C2401
Motor circuit error
C2412
Motor voltage supply error
First erase DTC and check, Check ECU/motor connector.
First replace ECU. In case of reoccurrence, replace motor.
C1259
Angle sensor signal error
After Resetting zero point & erasing DTC, check connector connection condition.
In case of reoccurrence, replace column & Housing.
C1261
Zero-setting error
After Resetting zero point, recheck.
Reset the zero-setting.
C1102
Battery voltage problem
Check battery voltage condition.
Recharge battery voltage.
C1696,C1697
SPAS signal error
Check SPAS.
Erase DTC (MDPS is not to be replaced).
C1612,C1646
TCU signal error
Check TCU.
C1628,C1656
Instrument cluster signal error
Check instrument cluster.
C1692,C1693
VSM signal error
Check VSM.
C1260
Angle sensor signal error
After resetting the angle, recheck. If C1259 does not occur, check CAN line.
Reset Angle sensor. Erase DTC.
C1611
CAN time out EMS
1. Check G-SCAN condition.
2. Check connector connection.
3. Check ECU CAN line.
4. Check MDPS ground line.
Check the EMS CAN Line.
C1616
CAN BUS OFF
Check the chassis CAN Line.
C1622
Vehicle speed signal error
Check the EMS (Engine ECU).
C1623,C1687,C1688
Can time out Steering angle sensor
1. Check MDPS Power Connector & FUSE
2. Check MDPS Ground line
3. Check MDPS ECU / VSM CAN line
4. Communication status with GDS
In case of reoccurrence, replace ECU
(Heavy steering and no communication)

â‘¢ MDPS Performance Inspection
1.
Inspect steering angle and DTCs relevant to the steering system.
2.
Inspection for heavy steering effort
(1)
Inspect tire pressure and width.
(2)
Check DTCs relevant to the CAN communication error.
(3)
Check the wheel alignment.
â‘£ MDPS common problems
Case 1
Case 2
Case 3

Multifunction switch noise
Clock spring noise
DAB / Wire noise
Retighten the bolt
Replace clock spring
Rearrange and replace DAB

Case 4
Case 5
Case 6

Multifunction switch noise
MB nut mount defect
M10 nut mount defect
Replace multifunction switch
Retighten nut
Retighten nut

Case 7
Case 8

Cowl top bolt mount defect
Cowl bar nut mount defect
Retighten cowl top bolt
Replace clock spring

   
Cautions to be taken when handling the MDPS (Motor Driven Power Steering)
•
Failure occurs due to internal damage because of the drop of and shock and excessive external force on the new partial component.
→ Be cautious of shock on the partial component and replace the damaged part (due to drop, etc.) with a new one.
•
When fastening the steering, excessive impact may result in twisting the center point of the torque sensor.
•
When removing/installing the connector the wiring may be damaged (deformed) by excessive external force.
•
Be cautious when storing and replacing the partial components under the abnormal temperature and humidity conditions.

    Schematic DiagramsTerminal Function Type Pin No Description Battery1Battery +2Battery -VSS1IGN2-3-4-5-6-7HIGH CAN8LOW CAN

    Replacement    â€¢ When a DTC related to MDPS motor occurs, check the connectors and wiring. If no problem is found, replace the motor.

    Other information:

    Hyundai Ioniq (AE) 2017-2022 Service & Repair Manual: In-car Sensor. Description and operation

    DescriptionThe In-car air temperature sensor is built in the heater & A/C control unit.The sensor contains a thermistor which measures the temperature of the inside. The signal decided by the resistance value which changes in accordance with perceived inside temperature, is delivered to heater control unit and according to this signal the contr

    Hyundai Ioniq (AE) 2017-2022 Service & Repair Manual: Description and operation

    DescriptionIn ordinary cars, the mechanical water pump mounted on the engine for heating purposes is activated to circulate the cooling water, but in hybrid cars, AEWP is used to circulate the cooling water when the engine is not operating. Classification System Cooling water used

    Categories

     
    Copyright © 2026 www.hioniqae.com - 0.013